일기
77일
✨️
2025. 8. 28. 23:44
저물녘
굳세고 유연하며 곧고 온화하라
단단함과 관련하여 저물녘에 뭘 적을까 하다가 오늘은 공자의 말을 인용한다!
子曰(자왈) 剛毅木訥(강의목눌)이 近仁(근인)이니라
그렇다고 한다.. 대충 유도리 있게 살라는 말인 듯
9평 관련해서 미니 목표가 생겼다!
확통 인강 9평 전 까지 끝내기~
확통 틀리면 쫌 많이 슬플 것 같기 때문이다...
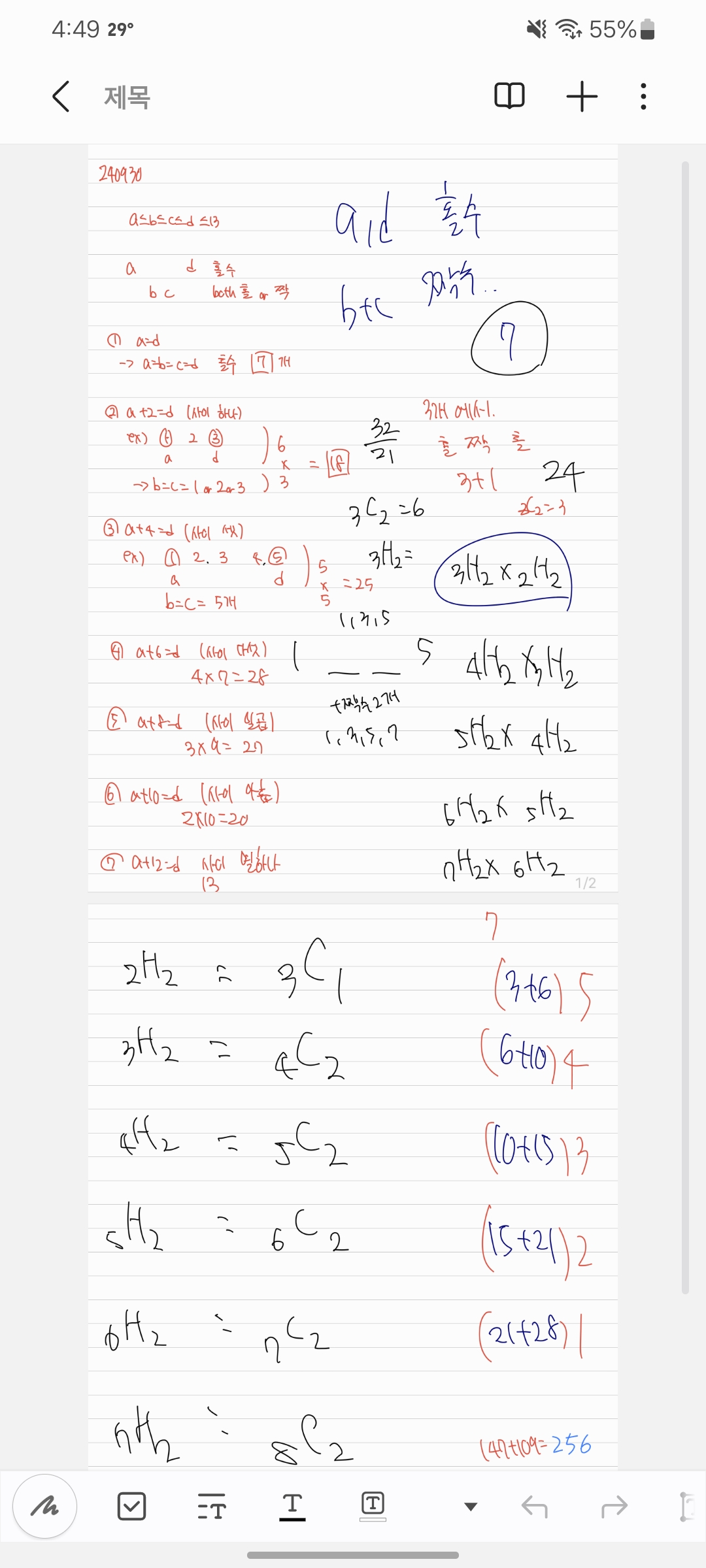
그리고 오늘 240930이에게 배신당했다 ㅠㅠ

결국 못 풀었는데 내일 다시 도전해 보도록 하자!
화/목이라도 일찍 자보려고 하는데 쉽지가 않다.
하루하루 열심히 파이팅~
그래도 요즘에는 심란함이 많이 줄었다!
좋았엉
